Tugas
- Diketahui empat bilangan 20, 60, 40, 100. Buatlah program python dan flowchart untuk mendapatkan nilai terbesar diantara keempat bilangan tersebut.
- Buatlah program python dan flowchart untuk menghitung jumlah suku deret angka berikut:
- S = 1 + 3 + 5 + 7 + 9 + 11
- S = 2 + 5 + 10 + 17 + 26 + 37
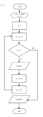
- Buatlah program python dari flowchart di gambar.
Jawab:
1. Buatlah program python dan flowchart untuk mendapatkan nilai terbesar
2.1 Buatlah program python dan flowchart untuk menghitung jumlah suku deret angka
2.2 Buatlah program python dan flowchart untuk menghitung jumlah suku deret angka
3. Buatlah program python dari flowchart di gambar.
#Meliputi
Terima kasih telah datang ke Blogg Kami..
Jangan Lupa Tinggalkan Like & Komen
Jangan Lupa Tinggalkan Like & Komen






Tidak ada komentar:
Posting Komentar